探花av

简体中文
探花av动态

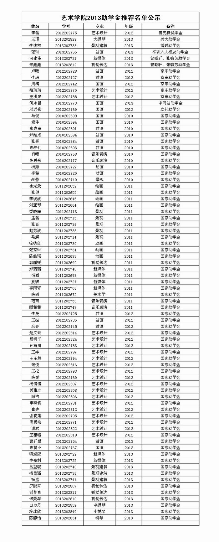
探花av 2013助学金推荐名单公示

 

探花av 2013奖学金、助学金推荐名单公示  

 

经过同学申请、班级初评、学院奖助学金评定委员会审议等环节,我院奖学金、助学金推荐名单已经产生,现进行公示,如有异议,请于3天内反馈至学院党团办。  

 

 

探花av  

20131014  

 

地址:艺术楼503办公室
电话:010-62513634